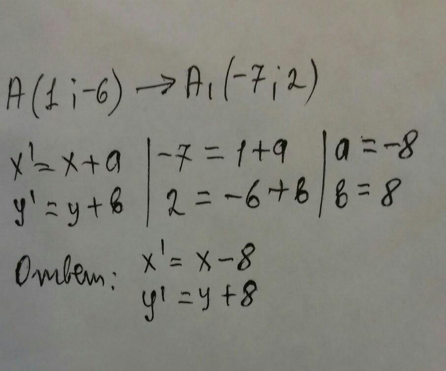
При паралельному перенесенні на вектор а образом точки А(1; -6) є точка А1(-7; 2). Знайдіть координати вектора а
Ответы
Ответ дал:
7
Ответ:
............................
Приложения:

Вас заинтересует
2 года назад
2 года назад
2 года назад
8 лет назад
8 лет назад
9 лет назад