будьте добры) -(3х-1)(во второй степени) + 2(5+х)(х-5)+7х(во второй степени) = 3 решить уравнение.
Ответы
Ответ дал:
0
файл
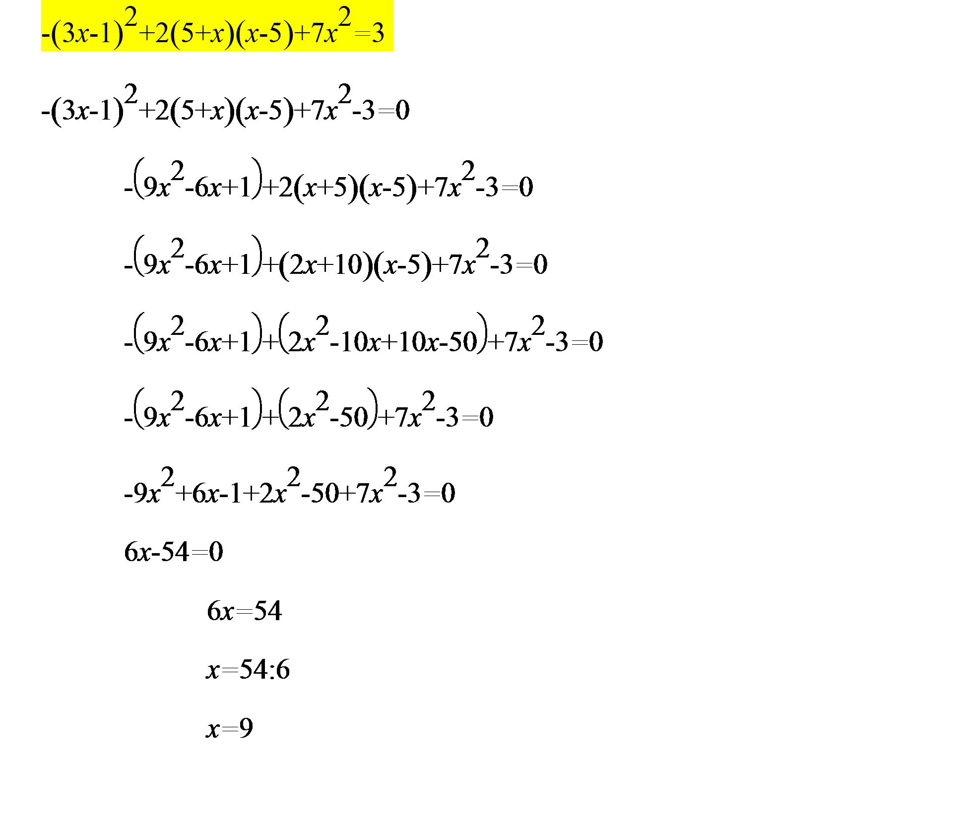
------------------------------------------
Приложения:

Ответ дал:
0
-(3х-1)^2 + 2(5+х)(х-5)+7х^2 = 3 |*(-1)
(3x-1)^2-2(5+х)(х-5)+7х^2+3=0
3x^2-6x+1-2(5x-25+x^2-5x)+7x^2+3=0
3x^2-6x+4-10x+50+2x^2+10x+7x^2=0
12x^2-6x+54=0 |:6
2x^2-x+9=0
уравнение не имеет решения так как дискриминант меньше нуля
Приложения:

Вас заинтересует
2 года назад
2 года назад
8 лет назад
10 лет назад
10 лет назад