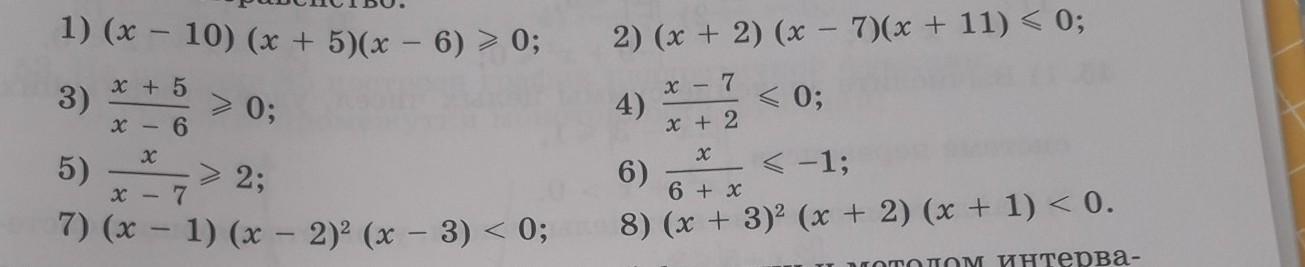
35. Решите неравенство:
2) (x + 2) (х – 7)(х + 11) < или =0;
4)х-7/х+2 больше или = 0
8) (х+3)= (х + 2) (х + 1) < или =0.
Приложения:
Ответы
Ответ дал:
1
Ответ:
решение смотри на фотографии
Приложения:
Вас заинтересует
2 года назад
2 года назад
3 года назад
3 года назад
8 лет назад
8 лет назад
10 лет назад
10 лет назад