• Предмет: Алгебра
  • Автор: tikt92909
  • Вопрос задан 3 года назад

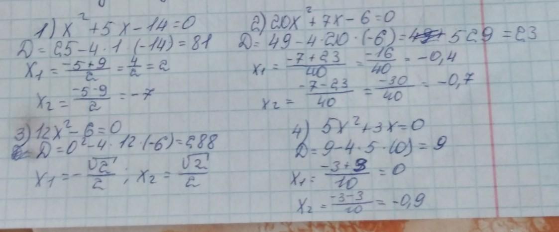
не розв'язуючи рівняння знайдіть суму та добуток його коренів
1)х²+5х-14=0​. а)-7/2;-0,3
2)20х²+7х-6=0. б)0;-0,5
3)12х²-6=0. в)-0,6;0
4)5х²+3х=0. г)-5;-14. д)3/5;0

Ответы

Ответ дал: goncharka123
0

Ответ:

как понимаю я , нужно решить квадратное уровнение

Приложения:
Вас заинтересует