• Предмет: Алгебра
  • Автор: kamilayt2005
  • Вопрос задан 3 года назад

Помогите решить срочно! С решением прошу​

Приложения:

Ответы

Ответ дал: chumacovszx
0

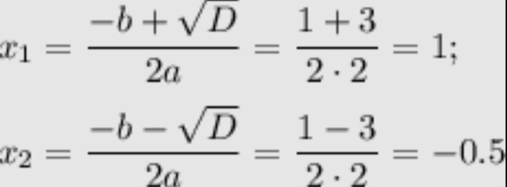
Відповідь:

Пояснення:

Приложения:
Вас заинтересует