• Предмет: Алгебра
  • Автор: zelentartem14
  • Вопрос задан 3 года назад

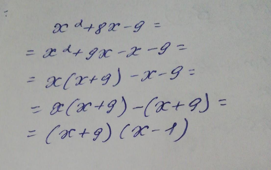
розкладіть тричлен на множники x²+8x-9​


zelentartem14: пожалуста у меня кр
zelentartem14: помогите
zelentartem14: дам 10 балов за ето аж помогите

Ответы

Ответ дал: serovaksusa1
1

Ответ:

Смотри решение на фото

Приложения:

zelentartem14: Спасибі ти кращий
Вас заинтересует