• Предмет: Математика
  • Автор: ami579
  • Вопрос задан 3 года назад

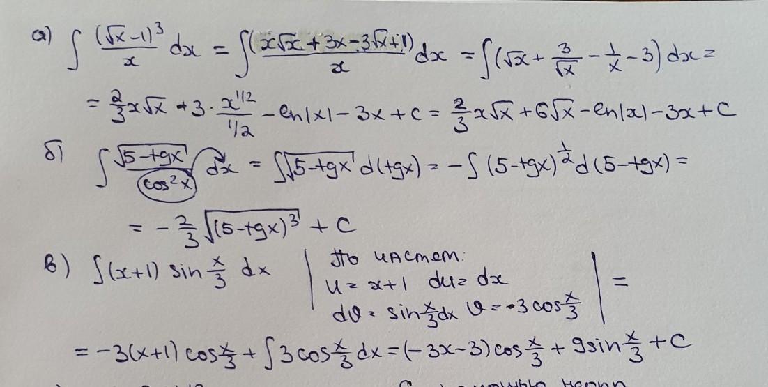
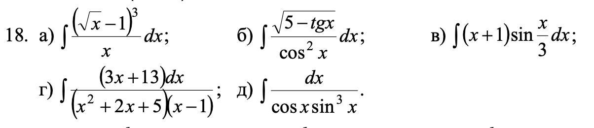
Найти неопределенные интегралы.

Приложения:

Ответы

Ответ дал: Miroslava227
1

Ответ:

решение на фотографиях

Приложения:
Вас заинтересует