• Предмет: Химия
  • Автор: Аноним
  • Вопрос задан 3 года назад

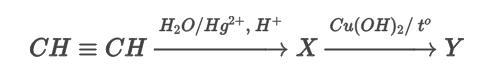
Определите вещества X и Y в схеме превращений. (изображение прикреплено)

Приложения:

Ответы

Ответ дал: Аноним
1

CH≡CH + H₂O →Hg,H+→ CH₃CHO (ацетальдегид)

CH₃CHO + 2Cu(OH)₂ → CH₃COOH + Cu₂O↓ + 2H₂O

X - ацетальдегид

Y - Уксусная кислота

Вас заинтересует