• Предмет: Алгебра
  • Автор: daniilyen21
  • Вопрос задан 3 года назад

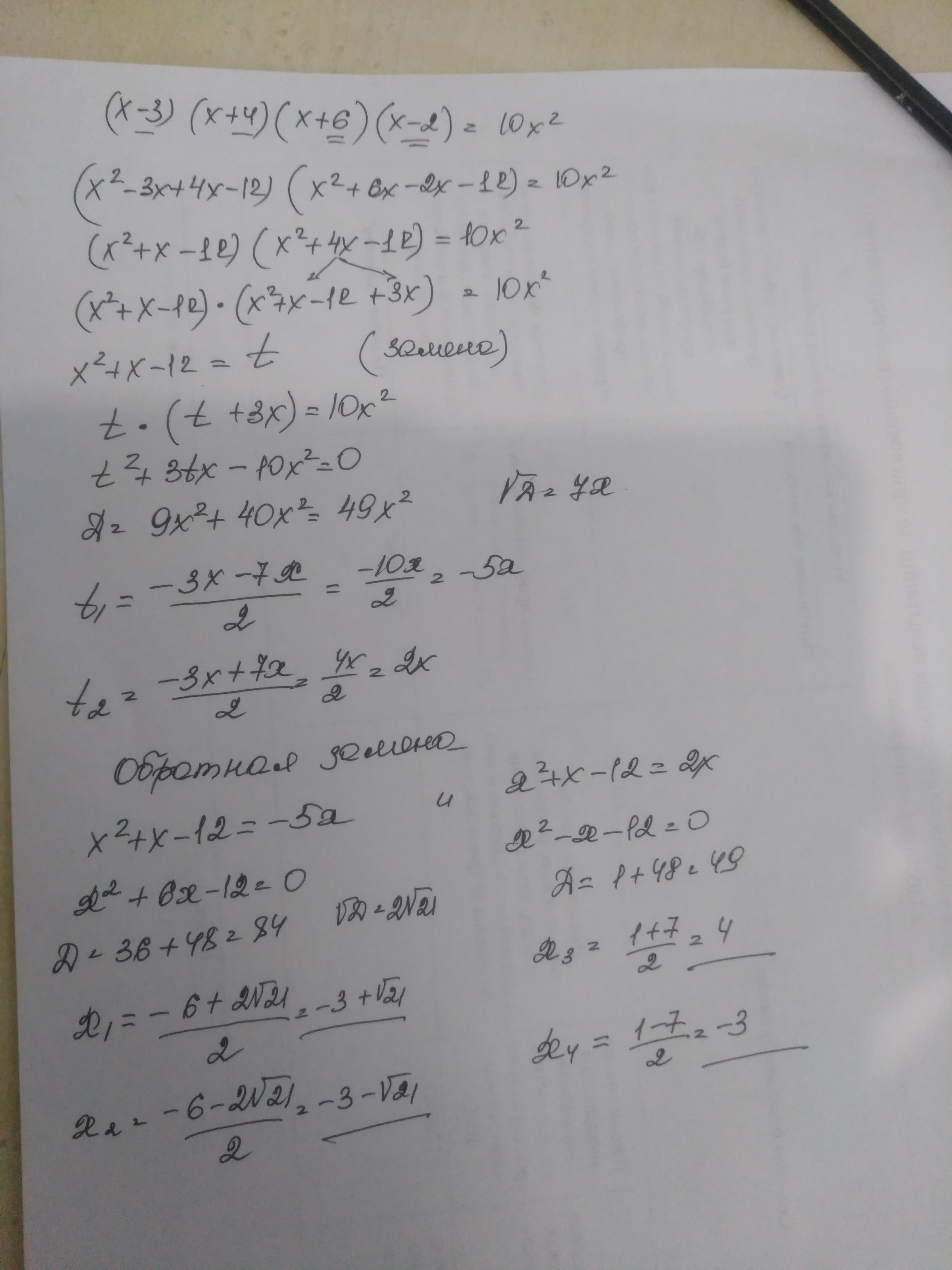
решите методом замены с объяснением : (x-3)(x+4)(x+6)(x-2)=10x^2 ​

Ответы

Ответ дал: MizoriesKun
2

Смотри..........................

Приложения:
Вас заинтересует