Ответы
Ответ дал:
0
Ответ:
Объяснение:
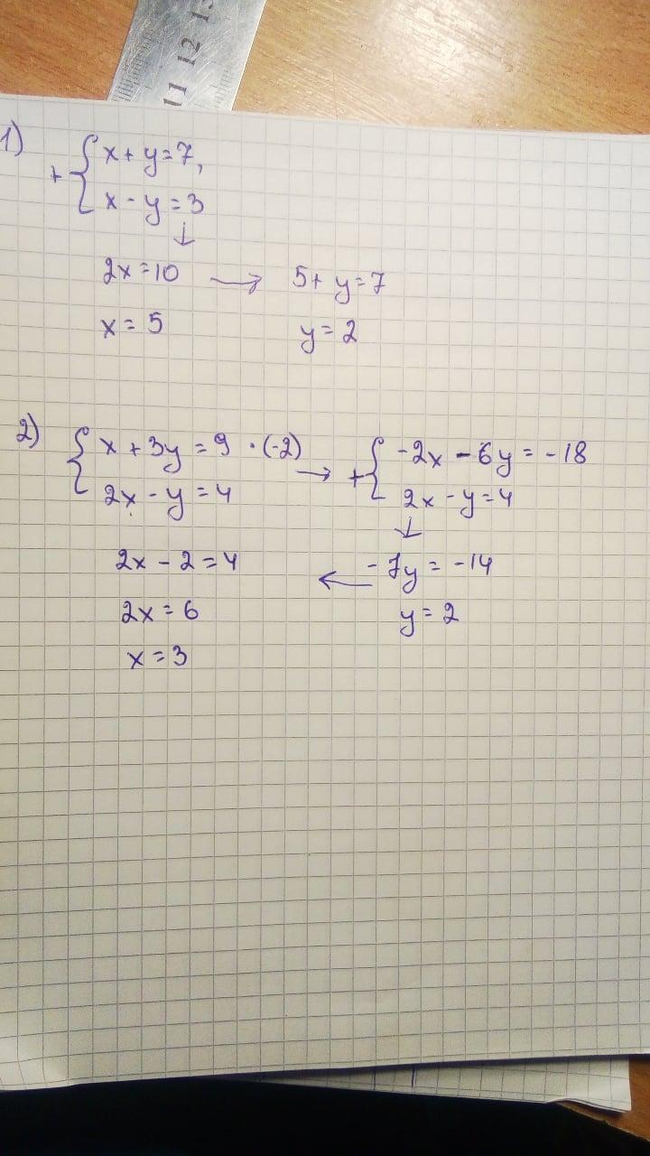
Я думаю так
Приложения:

Ответ дал:
0
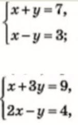
Ответ: на фото......
Приложения:

Вас заинтересует
2 года назад
2 года назад
2 года назад
8 лет назад
9 лет назад