• Предмет: Математика
  • Автор: anna4647
  • Вопрос задан 3 года назад

помогите пожалуйста.....​

Приложения:

Ответы

Ответ дал: warvaler
1

Ответ:

24x=96

x=4

y/35=2

y=70

Пошаговое объяснение:


anna4647: Не ЧеГо Не ПоНяТнО
Ответ дал: anuapolina08
1

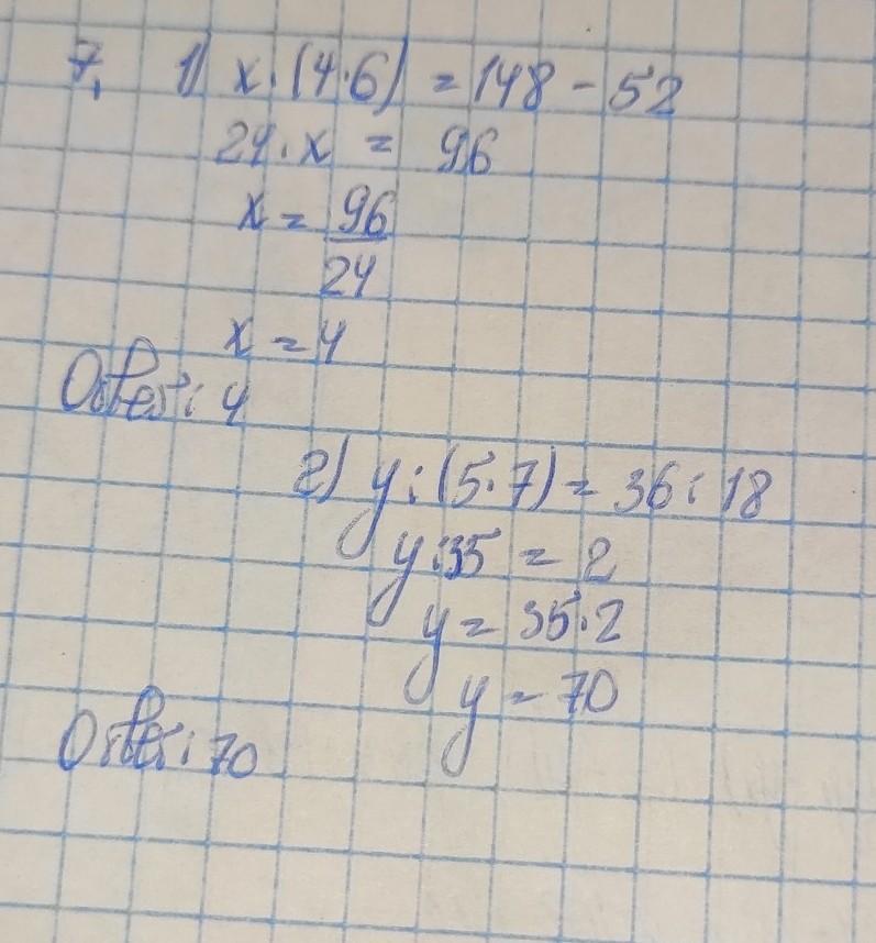
Ответ: 1)4; 2)70

1) x(4•6) = 148 - 52

24x = 96

x = 4

2) y:(5•7) = 36:18

y:35 = 2

y = 70

В тетрадь запиши так, как написано на фото.

Приложения:

anuapolina08: Что именно значат твои знаки, их нет в примере.
anna4647: прлсто написала
anna4647: просто&
anuapolina08: Так что именно тебе не понятно?
anuapolina08: спрашивай, я объясню.
anna4647: как это в тетрадь написать так как написано?
anna4647: ты здесь?
anuapolina08: теперь все есть в ответе.
anuapolina08: Теперь все понятно?
anna4647: да спасибо
Вас заинтересует