• Предмет: Алгебра
  • Автор: DANAMALDYBEKOVA
  • Вопрос задан 3 года назад

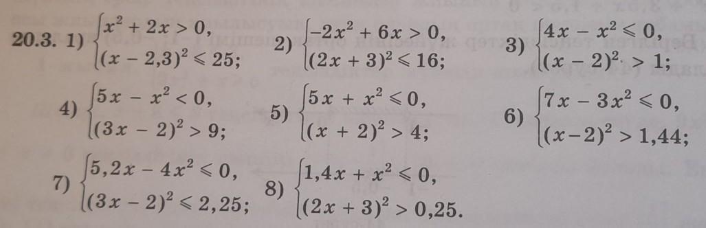
помогите пожалуйста с алгеброй!!​

Приложения:

Ответы

Ответ дал: m11m
1

Ответ:

Объяснение:

!!!!!!!!!!!!!!!!!!!!!!!

Приложения:
Вас заинтересует