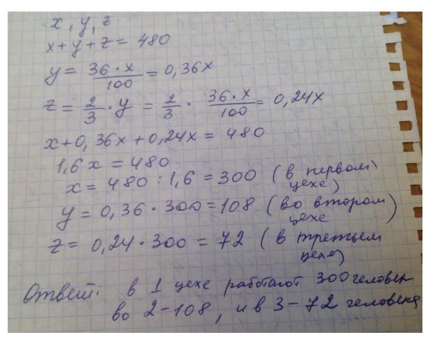
У трьох цехах фабрики працюе 480 робітників. Кількість людей,що працюють у другому цеху становить 0,36 кількості людей першого цеху, а кількість людей що працюють в третьому цеху, становить 2/3 кількості людей другого цеху. Скільки чоловіків працює в кожному цеху
Ответы
Ответ дал:
2
ответ во вложении, надеюсь что помогла))
Приложения:

Вас заинтересует
2 года назад
2 года назад
8 лет назад
8 лет назад
9 лет назад
9 лет назад