• Предмет: Математика
  • Автор: stepadiana2
  • Вопрос задан 3 года назад

знайдіть "підбором" корені рівняння
у²+5у+4=0​

Ответы

Ответ дал: ShtainDaniel
0

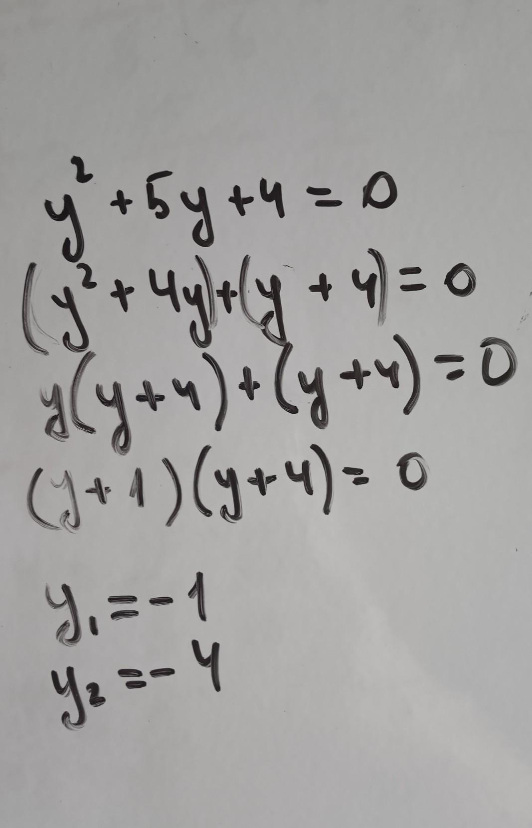
Ответ:

y1=-1

y2=-4

Пошаговое объяснение:

на фотоооо.

Приложения:
Вас заинтересует