Ответы
Ответ дал:
15
Ответ:
[ext]_______________________[ext]
Приложения:

omirzakovasabira:
Не правильно)
1)
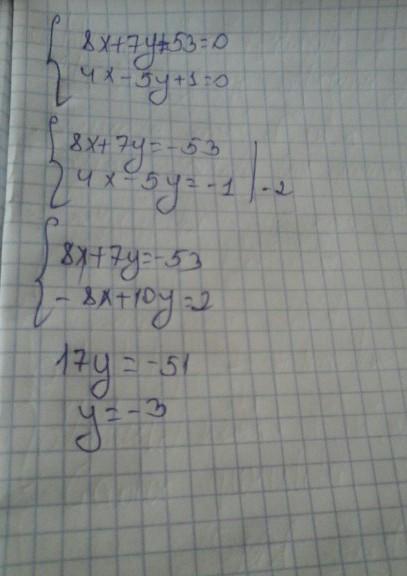
{8х+7у+53=0
{4х-5у+1=0
{8х+7у=-53.
{4х-5у=-1 |×2
{8х+7у=-53
{-8х+10у=-2
17у=-51
у=-3
8х+7у+53=0
8х+(-21)+53=0
8х+32=0
х=4
Вас заинтересует
2 года назад
2 года назад
2 года назад
8 лет назад
8 лет назад
9 лет назад