• Предмет: Математика
  • Автор: tarkonofye
  • Вопрос задан 3 года назад

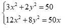
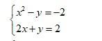
Решить с решением системы уравнений

Приложения:

Ответы

Ответ дал: nasstya12
0

Ответ:

залезь в фотоматч

Пошаговое объяснение:

лучше будет

Вас заинтересует