ПОМОГИТЕ ПОЖАЛУЙСТАА
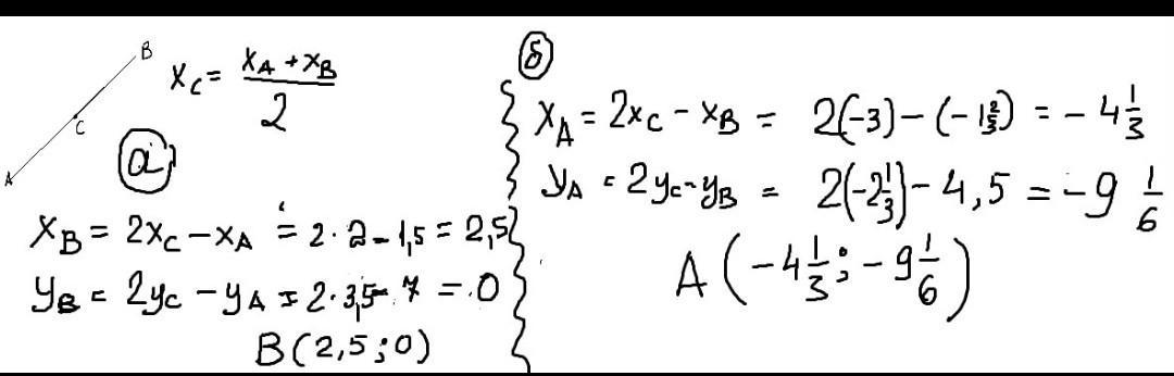
дан отрезок ав и его середина с. найдите координаты: а) точки В, если А(1,5; 7), С(2; 3,5); б) точки а, если в(-1 2/3; 4,5), с(-3; -2 1/3).
ответ: а) (2,5; 0); б) -4 1/3; -9 1/6)
ришите так, чтобы ответы соответствовали. пожалустааа
Ответы
Ответ дал:
2
Ответ:
Все просто задача во вложенном файле
Объяснение:
Все в файле
Приложения:

tatyana070169:
спасибо огромное❤❤❤❤
Вас заинтересует
2 года назад
2 года назад
2 года назад
8 лет назад
8 лет назад
9 лет назад