• Предмет: Химия
  • Автор: крик12
  • Вопрос задан 10 лет назад

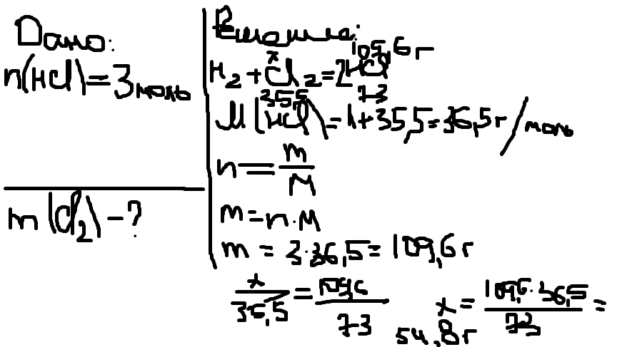
определить массу хлора необходимой для получения HCL колличеством 3 моль

Ответы

Ответ дал: noname167
0
H2 + Cl2=2HCl
n(Cl2= n(HCl)/2=1.5 моль
m(Cl2)=35.5 грамм/моль*1,5моль=53,25 грамм
Ответ: 53.25 грамм
Ответ дал: Nasty151097
0
Вот решение,правда кривое,печатать долго - нарисовать проще
Приложения:
Вас заинтересует