• Предмет: Алгебра
  • Автор: dmitstary
  • Вопрос задан 3 года назад

помогите :3 позязя мне сложно​

Приложения:

Ответы

Ответ дал: Indeness
1

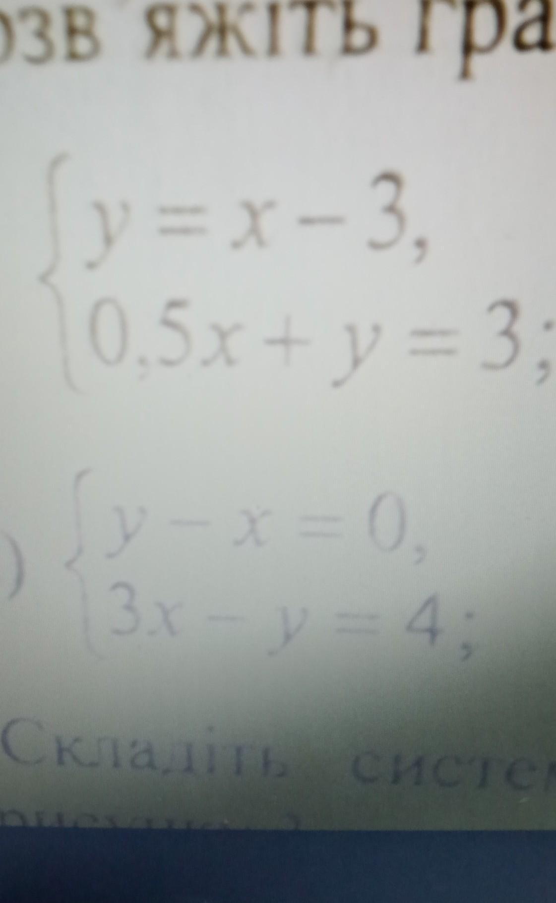
Первое: y=х-3 подставляем во 2-е ур-е системы:

0.5x+x-3=3

3x/2=6

x=6*2/3=4 Подставляем в 1-е ур-е системы: y=4-3=1. Ответ:(4;1)

Второе: Выражаем в первом ур-ии системы y и подставляем во 2-е:

y-x=0 y=x

3x-x=4

2x=4 x=2 => y=2 Ответ: (2;2)


dmitstary: спч
dmitstary: спс)))
Вас заинтересует