• Предмет: Математика
  • Автор: zmaznevamilena
  • Вопрос задан 3 года назад

привет решите пожалуйста, я в 6 не понимаю как

-4(5-2х)+3(х-4)=6(2-х)-5х

Ответы

Ответ дал: dp263374747
1

Ответ:

ответ 2

лвдвьвтвдвлвилвлвтвлв

Приложения:
Ответ дал: ayana2008b
2

Ответ:

X=2

Пошаговое объяснение:

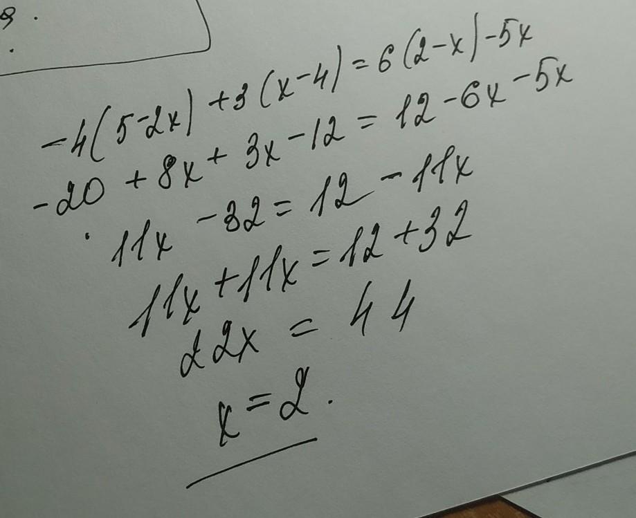
-4(5-2x) +3(x-4)=6(2-x) -5x

(Сначала раскрываем скобки)

-20+8x+3x-12=12-6x-5x

(Теперь ставим в правую сторону неизвестные величины, а в левую-известные) (когда мы через "=" перебрасываем цифры вправо или налево, тогда их знаки меняются на противоположные (например если справа стоит -5x , то когда перебрасываешь на лево, становиться +5x.)

8x+3x+6x+5x=12+20+12

22x=44

X=44:22

X=2.

Удачи, надеюсь понятно объяснила.

Приложения:
Вас заинтересует