• Предмет: Алгебра
  • Автор: redzilla135
  • Вопрос задан 3 года назад

Помогите пожалуйста!
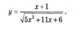
Найдите область определения функции.

Приложения:

Ответы

Ответ дал: 01062007ars
1

Ответ:

D(y): R\{-1,2;-1}

Ответ дал: Strikeris
1

Ответ:

х = (от минус бесконечности; -1,2) и (-1; до плюс бесконечности)

Объяснение:

x+1 = R, x = R

знаменатель > 0, 5x2 + 11x + 6=0, D= 121 - 120 = 1,

x1 = -1

x2 = -1,2, т.к. знаменатель строго больше нуля, то проводим отбор корней через интервалы, получаем

х = (от минус бесконечности; -1,2) и (-1; до плюс бесконечности)

Вас заинтересует