Ответы
Ответ дал:
2
Ответ:
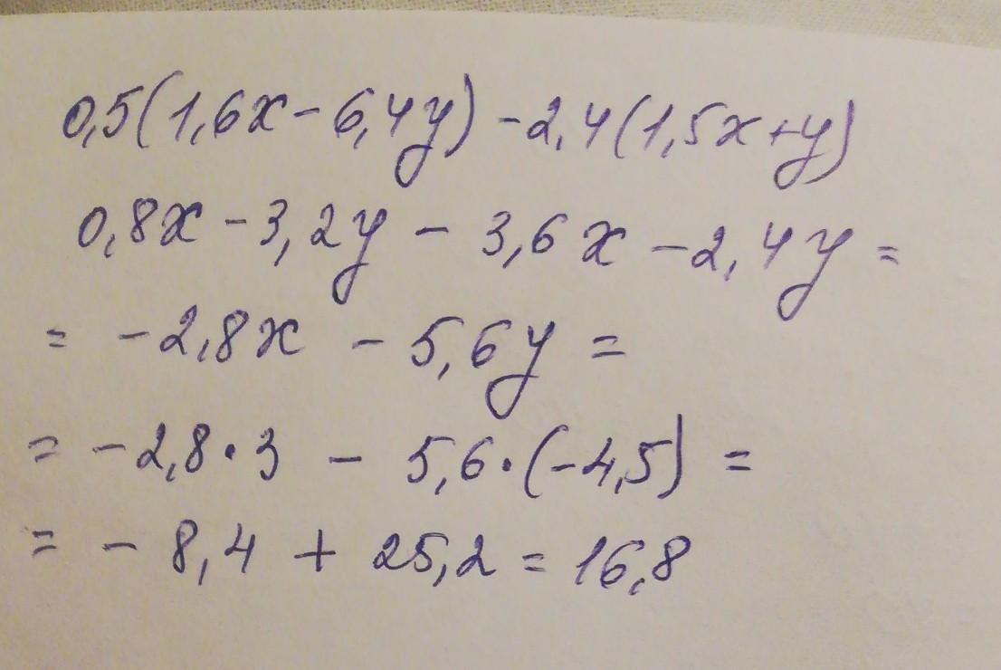
Смотри решение на фото
Приложения:

pupil06a25:
А откуда взялось 0,8х?
Вас заинтересует
2 года назад
8 лет назад
8 лет назад
9 лет назад