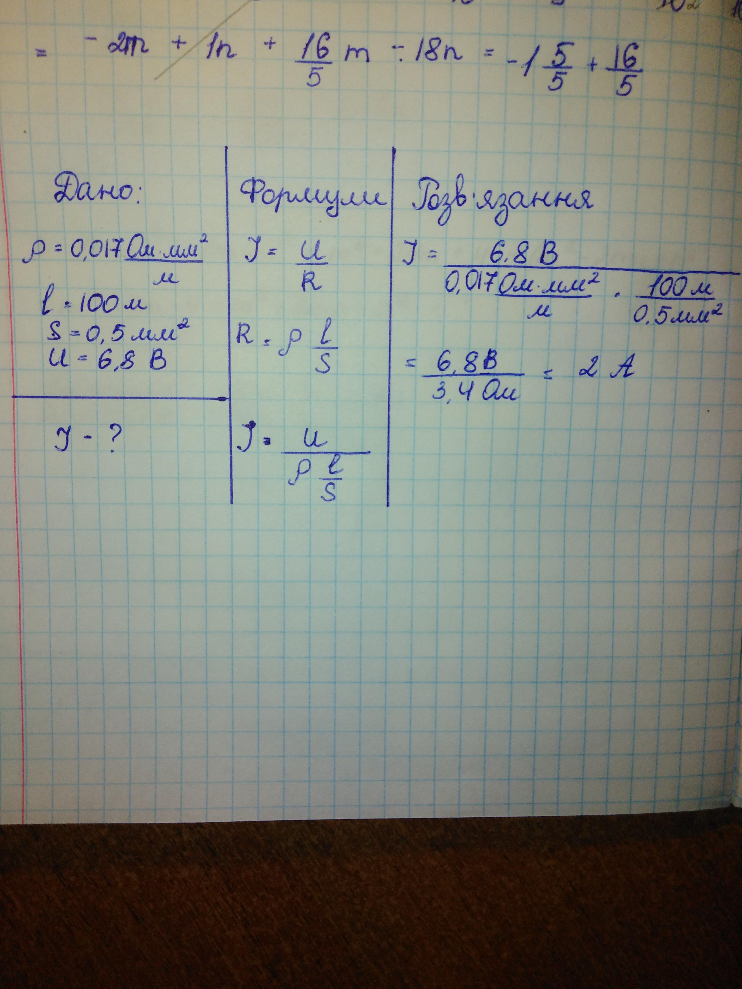
обчисли силу струма ,що проходить по мідному провіднику довжиню 100 м і площею поперечного перерізу 0,5мм2 при напрузі 6,8В
Ответы
Ответ дал:
2
Ответ:
Надеюсь помогла.
Объяснение:
Приложения:

Вас заинтересует
2 года назад
2 года назад
2 года назад
8 лет назад
9 лет назад