• Предмет: Химия
  • Автор: runnerairatka
  • Вопрос задан 11 лет назад

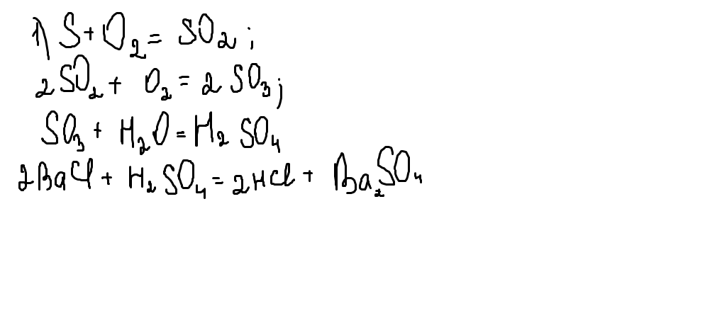
химия сера и ее соеденения помогите с цепочками пожалуйста :)очень нужно)

Приложения:

Ответы

Ответ дал: cherry1
0
первое
второе 
девятое 
:)
Приложения:
Вас заинтересует