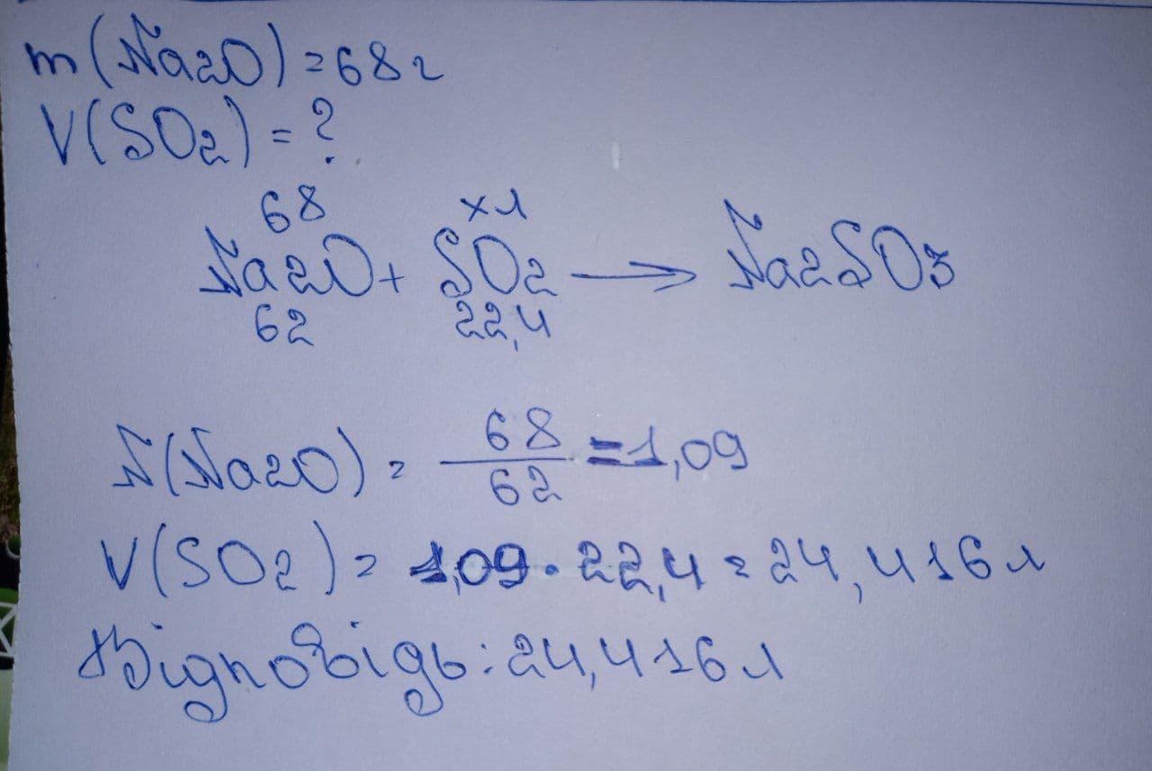
Розв'язати задачу: При взаємодії натрій оксиду масою 68 г з іульфур (IV) оксидом, який за нормальних умов є газом, утворилася сіль натрій сульфіт. Який об'єм сульфур (IV) оксиду необхідно взяти для цієї реакції. Задачу розв'зати з використанням кількості речовини.
Ответы
Ответ дал:
1
Ответ:
24,416 л
Объяснение:
У сульфур оксида 22,4 - сталое значение для газов
Приложения:

Вас заинтересует
2 года назад
2 года назад
2 года назад
2 года назад
8 лет назад
8 лет назад
9 лет назад