• Предмет: Математика
  • Автор: nnnastya1427
  • Вопрос задан 3 года назад

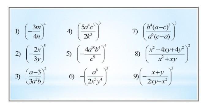
помогите пожалуйста,очень срочно
нужно возвести в степень​

Приложения:

Ответы

Ответ дал: fortuna290711
3

Ответ:

1 81m⁴/256n⁴

2 -64x⁵/729y⁵

3 a²+9/9a⁴b²

Вас заинтересует