Ответы
Ответ:
P - ймовірність.
A - подія.
m - кількість умов, що сприяють події А (сприятливих).
n - загальна кількість подій (всі можливі).
1. Г 0, 375
2. В 0,6
3. В 4
На перше місце (десятків) можна поставити лише дві цифри: 2 або 4 (нуль не можна).
На друге місце (одиниць) - також дві цифри: ту, що залишилась і нуль.
Маємо: 2*2=4
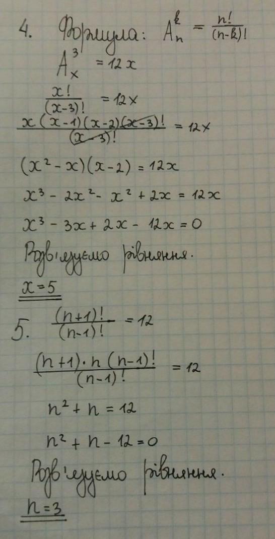
4. Д 5
5. Г 3
Примітка: Розв'язання завдань 4 і 5 є на одній з фотографій. Упущений процес розв'язування рівнянь.
6. Чотири цілих п'ять шостих (°С).
7. 1-Д, 2-Г, 3-А, 4-В
Примітка: Можливі неточності, дуже погано видно.
8. Застосовуємо формулу комбінацій (на одній з чорно-білих світлин).
Маємо: 6*5*4! / 1*2*4! =
= 30 : 2 = 15 (букетів)
Відповідь: 15 букетів.
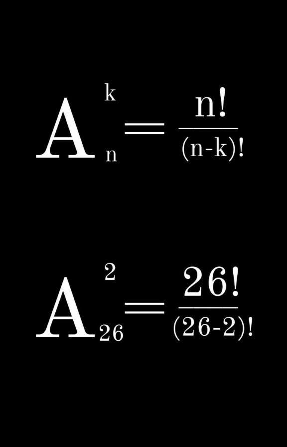
9. Застосовуємо формулу розміщення (на одній з чорно-білих світлин).
Маємо: 26*25*24! / 24! =
= 26*25 = 650 (фотографій)
Відповідь: 650 фотографій.


