• Предмет: Математика
  • Автор: nnnastya1427
  • Вопрос задан 3 года назад

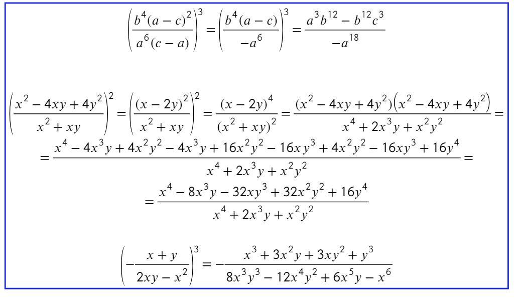
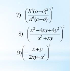
помогите пожалуйста очень срочно, нужно возвести в степень ​

Приложения:

Ответы

Ответ дал: rinatmuxekto86
0

Ответ:

Пошаговое объяснение:

Приложения:
Вас заинтересует