• Предмет: Алгебра
  • Автор: coolsky
  • Вопрос задан 3 года назад

Желательно срочно, пожалуйста! ​

Приложения:

Ответы

Ответ дал: Аноним
1

Ответ:

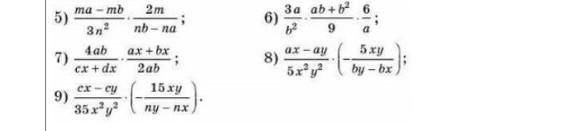
5)

 \frac{ma - mb}{ {3m}^{2} } \times  \frac{2m}{nb - na}  \\  \frac{am - bm}{ {3m}^{2} }  \times  \frac{2m}{bn - an}   \\  \frac{ - m \times ( - a + b)}{ {3n}^{2} }  \times  \frac{2m}{n \times (b - a)}  \\  \frac{ - m}{ {3n}^{2} }  \times  \frac{2m}{n}  \\   -  \frac{ {2m}^{2} }{ {3n}^{3} }

6)

 \frac{3a}{ {b}^{2} }  \times  \frac{ab +  {b}^{2} }{9}  \times  \frac{6}{a}  \\  \frac{1}{ {b}^{2} }  \times  \frac{b \times (a + b)}{3}  \times 6 \\  \frac{1}{b }  \times (a + b) \times 2 \\  \frac{2}{b}  \times (a + b) \\  \frac{2a + 2b}{b}


coolsky: Спасибо!
Вас заинтересует