• Предмет: Алгебра
  • Автор: coolsky
  • Вопрос задан 3 года назад

СРОЧНО, прошу! Кому не сложно?​

Приложения:

Ответы

Ответ дал: Аноним
0

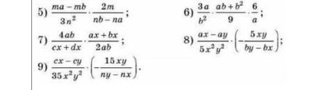
 \:5)  \\ \frac{ma - mb}{ {3m}^{2} } \times  \frac{2m}{nb - na}  \\  \frac{am - bm}{ {3m}^{2} }  \times  \frac{2m}{bn - an}   \\  \frac{ - m \times ( - a + b)}{ {3n}^{2} }  \times  \frac{2m}{n \times (b - a)}  \\  \frac{ - m}{ {3n}^{2} }  \times  \frac{2m}{n}  \\   -  \frac{ {2m}^{2} }{ {3n}^{3} }

6)

 \frac{3a}{ {b}^{2} }  \times  \frac{ab +  {b}^{2} }{9}  \times  \frac{6}{a}  \\  \frac{1}{ {b}^{2} }  \times  \frac{b \times (a + b)}{3}  \times 6 \\  \frac{1}{b }  \times (a + b) \times 2 \\  \frac{2}{b}  \times (a + b) \\  \frac{2a + 2b}{b}

7)

 \frac{4ab}{cx + dx}   \frac{ax + bx}{ 2ab}  \\  \frac{2}{x \times (c + d)} \times x \times (a + b) \\  \frac{2}{c + d}   \times (a + b) \\  \frac{2a + 2b}{c + d}

8)

 \frac{ax - ay}{ {5x}^{2} {y}^{2}  }  \times ( -  \frac{5xy}{by - bx}) \\  -  \frac{ - a \times ( - x + y)}{xy}  \times  \frac{1}{b \times (y - x)}  \\  -  \frac{ - a}{xy}  \times  \frac{1}{b}  \\  \frac{a}{bxy}

9)

 \frac{cx - cy}{ {35x}^{2}  {y}^{2} }  \times ( -  \frac{15xy}{ny - nx}) \\

вычисляем

сокращяем дробь потом опять сокращаем

 -  \frac{ - c \times ( - x + y)}{7xy}  \times  \frac{3}{n \times (x - y)}

сокращяем числитель и заменитель дроби

 -  \frac{ - c}{7xy}  \times  \frac{3}{n}

вычисляем, получили ответ:

 \frac{3c}{7nxy}

Объяснение:

 -  \frac{ - ? {?} }{ {?} ?}

если такая дробь встретилась в задаче то произведения четного количества отрицательных сомнажителей положительно.

вот так оно выглядит ⬇

 \frac{ {?} {?} }{? ? } .

Вас заинтересует