• Предмет: Математика
  • Автор: nastyakim8
  • Вопрос задан 3 года назад

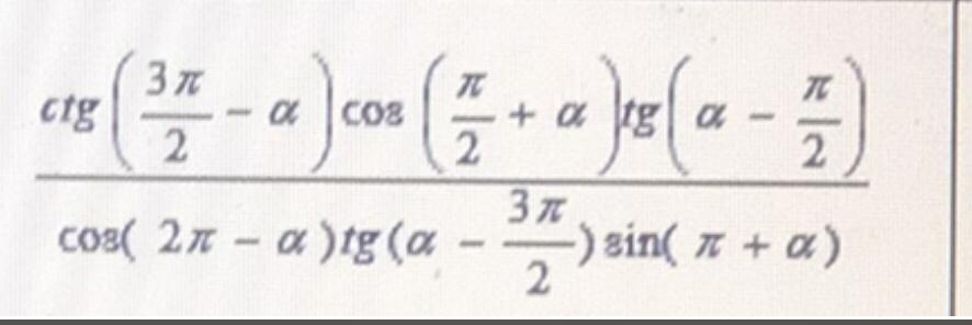
Здравствуйте, помогите упростить, желательно с объяснением

Приложения:

Ответы

Ответ дал: Miroslava227
2

Ответ:

Все раскрывается по формулам приведения

ctg( \frac{3\pi}{2}  -  \alpha ) = tg \alpha  \\  \cos( \frac{\pi}{2}  + \alpha  )  =   - \sin( \alpha )  \\ tg( \alpha  -  \frac{\pi}{2} ) =  - ctg \alpha  \\  \cos(2\pi  - \alpha )  =  \cos( \alpha )  \\ tg( \alpha  -  \frac{3\pi}{2} ) =  - ctg \alpha  \\  \sin(\pi  + \alpha )  =  -  \sin( \alpha )

Получаем:

 \frac{  tg \alpha  \times ( -  \sin( \alpha )) \times ( - ctg \alpha ) }{ \cos( \alpha ) \times ( - ctg \alpha ) \times ( -  \sin( \alpha ))  }  =  \\  =    \frac{tg \alpha }{ \cos( \alpha ) }  =   \frac{ \sin( \alpha ) }{ \cos {}^{2} ( \alpha ) }


nastyakim8: Спасибо,все поняла
GoalZeroNoHarm: Пожалуйста Помогите
Вас заинтересует