• Предмет: Математика
  • Автор: yanainstyanull
  • Вопрос задан 3 года назад

пожалуйста очень срочно нужно
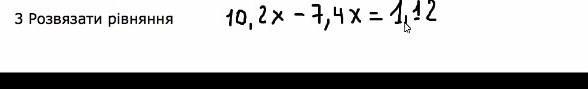
математика 5 класс
даю 11 балов ​

Приложения:

Ответы

Ответ дал: Darovo12225
0

Ответ:

-6,1-2,3= -8,4

Пошаговое объяснение:


Darovo12225: ой не то
Darovo12225: сори
Вас заинтересует