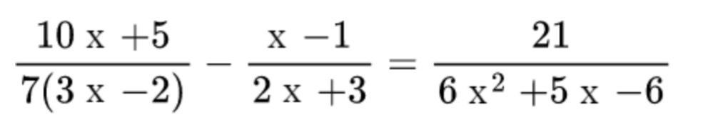
10x+5/7(3x-2)-x-1/2x+3=21/6x²+5x-6
Розв'яжіть рівняння
Будь ласка допоможіть хто зможе я буду вдячна ;-;
Дам 40 балів
Приложения:

annywka2006:
велике дякую, я дуже вам вдячна❤️
Ответы
Ответ дал:
1
Помогите с этим пожалуйста. Буду очень благодарен
Вас заинтересует
2 года назад
2 года назад
8 лет назад
8 лет назад