• Предмет: Алгебра
  • Автор: heeeeeeeeeeelpy
  • Вопрос задан 3 года назад

записать как систему уравнений
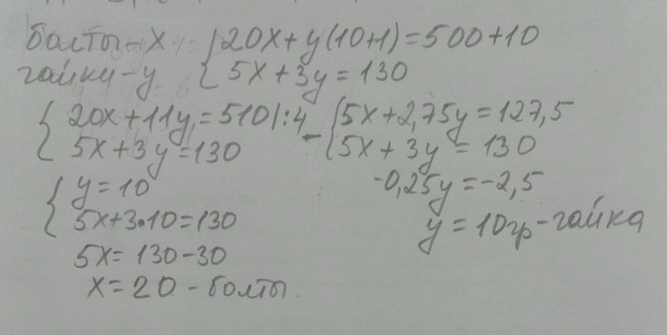
Маса 20 болтів і (10+1) гайок становить (500+10) г, а маса 5 болтів і 3 гайок – 130 г. Яка маса болта та гайки?

Ответы

Ответ дал: s1051966
1

Объяснение:

Масса 20 болтов и (10 + 1) гаек составляет (500 + 10) г, а масса 5 болтов и 3 гаек - 130 г. Какая масса болта и гайки?

Приложения:
Вас заинтересует