• Предмет: Алгебра
  • Автор: arudenko234
  • Вопрос задан 3 года назад

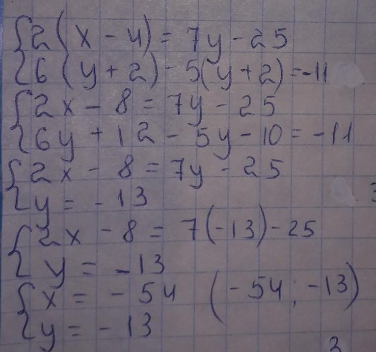
{2(х-4)=7у-25 {6(у+2)-5(у+2)=-11
Методом подстановки

Ответы

Ответ дал: dasenkadombrovskaa15
1

Ответ:

На листочке написала подробно

Приложения:

arudenko234: Спасибо
Вас заинтересует