• Предмет: Алгебра
  • Автор: lusineak
  • Вопрос задан 10 лет назад

Помогите мне решить 2примера)умоляю!

Приложения:

Ответы

Ответ дал: Матов
0
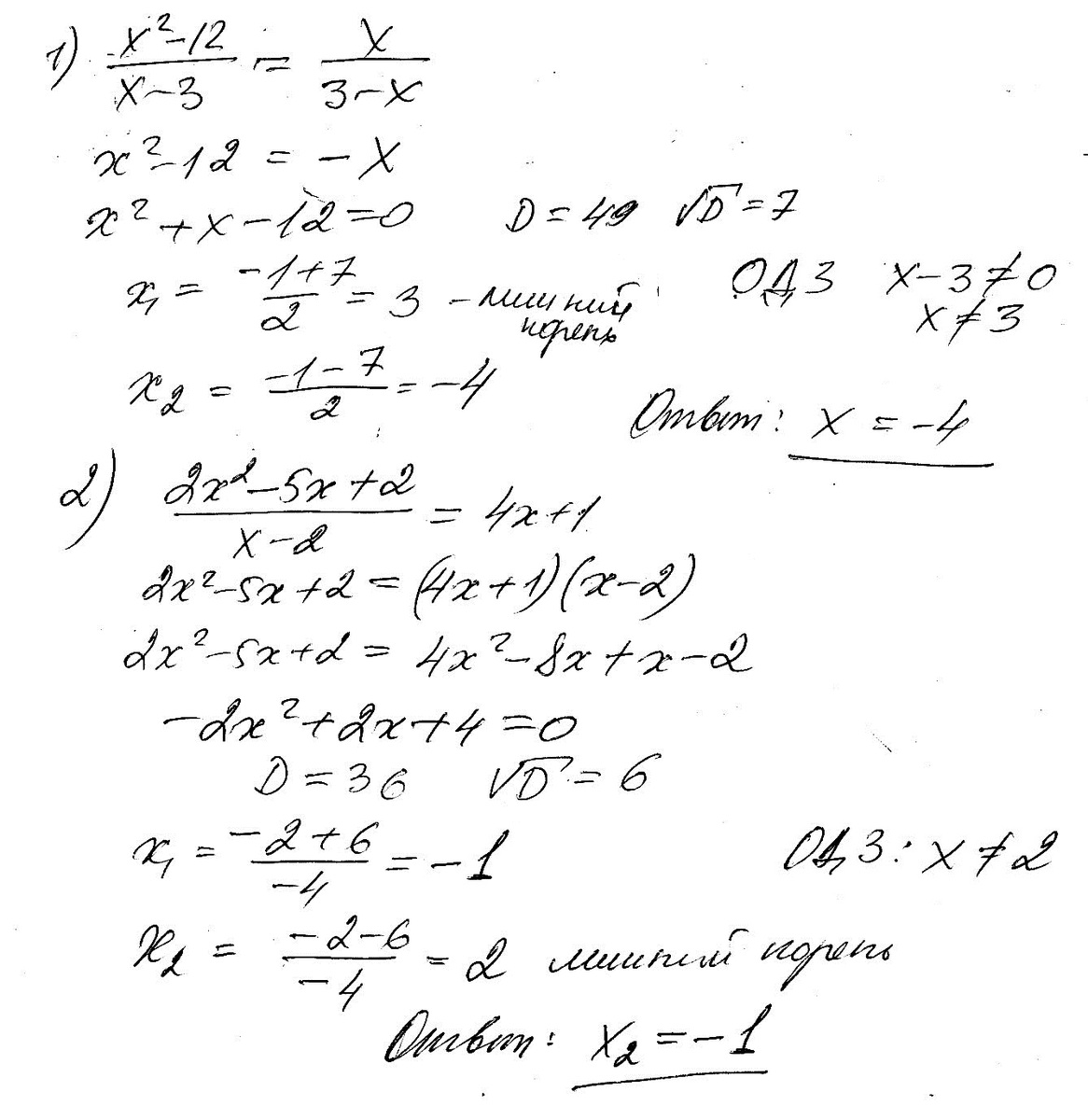
frac{x^2-12}{x-3}=frac{x}{3-x}\
frac{x^2-12}{x-3}=frac{x}{-(x-3)}\
x neq 3\
x^2-12=-x\
x^2+x-12=0\
D=7^2\
x=3\
x=-4\
Ответ -4 

frac{2x^2-5x+2}{x-2}=4x+1\
frac{(x-2)(2x-1)}{x-2}=4x+1\
2x-1=4x+1\
2x=-2\
x=-1
Ответ -1
Ответ дал: lusineak
0
Спасибо большое,но можешь пожалуйста подробнее записать где ты дискриминант ишешь?Во двух примерах?)Спасибо!
Ответ дал: Vladislav006
0
Решение представлено ниже в приложении



Приложения:
Вас заинтересует