Помогите, пожалуйста, решить задачу
Приложения:

Аноним:
тебе, сегодня, нужен, что-ли, я, могу, сегодня.
Ответы
Ответ дал:
1
Ответ:
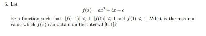
f(x)=ax°+bx+c=ответ в фото !
Пошаговое объяснение:
✨✨✨✨✨✨✨✨✨✨
Приложения:

Вас заинтересует
2 года назад
2 года назад
2 года назад
8 лет назад
9 лет назад