Ответы
Ответ дал:
1
Ответ:
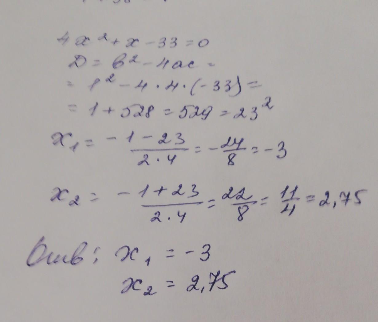
Смотри решение на фото
Приложения:

Аноним:
помогите по Физике срочно!!!
Ответ дал:
1
И еще 11/4, можно изобразить в десятичной дроби 2,75
Вас заинтересует
2 года назад
2 года назад
8 лет назад
8 лет назад
9 лет назад
9 лет назад