• Предмет: Геометрия
  • Автор: xomayura228
  • Вопрос задан 3 года назад

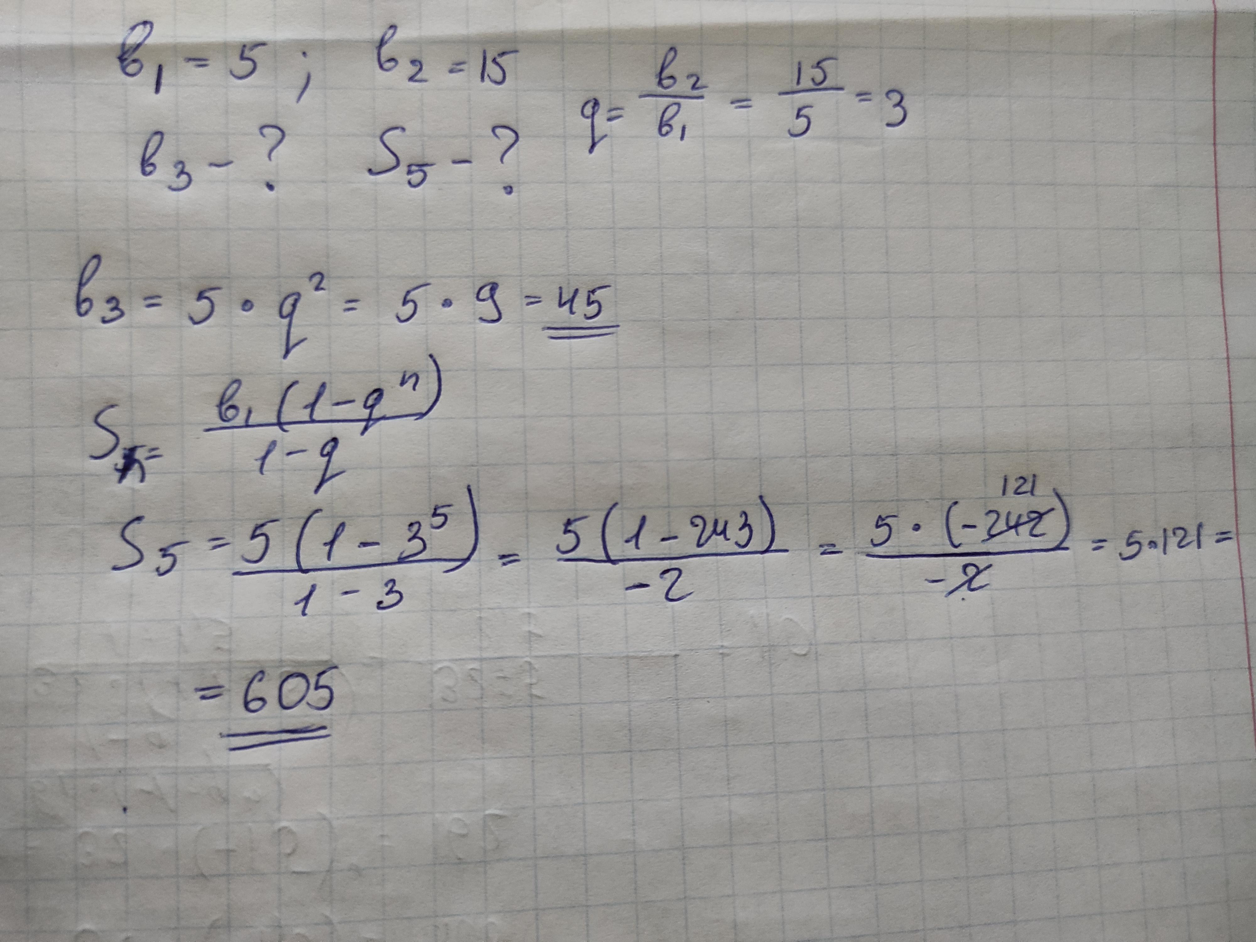
Дана геометрична прогресія: 5;15;...

Обчисли третій член послідовності: b3=
.
Обчисли суму перших п'яти членів: S5=

Ответы

Ответ дал: Julia33356
1

Відповідь:

Пояснення:

Приложения:
Вас заинтересует