• Предмет: Алгебра
  • Автор: andreosnach4
  • Вопрос задан 3 года назад

способом підстановки:
4х+у=-7,
х+4у=2

Ответы

Ответ дал: isabalin289
2

Объяснение:

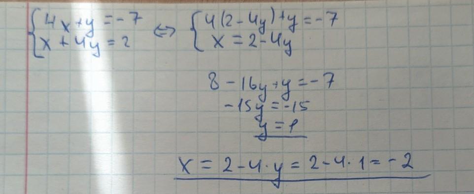
Способ подстановки. выражаем одно неизвестное в одном уравнении и подставляем в другое.

Приложения:
Ответ дал: ildar502020
0

Ответ:  -2.  1.

Объяснение:

4х+у=-7;                (1)

х+4у=2;                  (2)

-------------

Из (1)  у= -7-4х подставим в (2):

x+4(-7-4x)=2;

x-28-16x=2;

-15x=30;

x= -2;  подставим в (1)

4(-2)+у= -7;

-8+у=-7;

у=-7+8;

у=1.

Вас заинтересует