• Предмет: Алгебра
  • Автор: Endezz
  • Вопрос задан 3 года назад

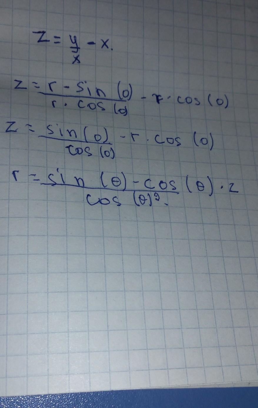
Построить линии уровня
z = \frac{y}{x} - x

Ответы

Ответ дал: Аноним
5

Объяснение:

идите если неправильно как-то так решил удачи ..

Приложения:
Вас заинтересует