• Предмет: Алгебра
  • Автор: andreosnach4
  • Вопрос задан 3 года назад

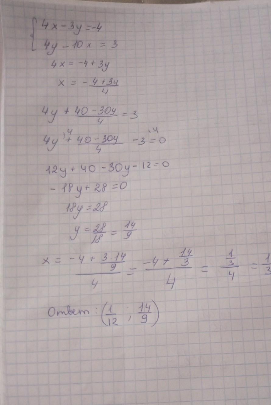
(Способом подстановки). (Распишите на бумаге).
4х-3у=-4,
4у-10х=3.

Ответы

Ответ дал: rewetaser
1

Объяснение:

ответ на картинке)))))))))

Приложения:

andreosnach4: Огромное спасибо
Ответ дал: magnesibumbum10
0

Відповідь: (1/2; 2)

Пояснення:

х=-1 + 3/4у

4у - 10×(-1 + 3/4у)= 3

4у + 10 - 15/2у = 3

-7у + 20 = 6

-7у = -14

у = 2

Вас заинтересует