СРОЧНО СРОЧНО СРОЧНО 20Б ДАЮ !!! ПОМОГИТЕ !!!
Приложения:

kasspijs:
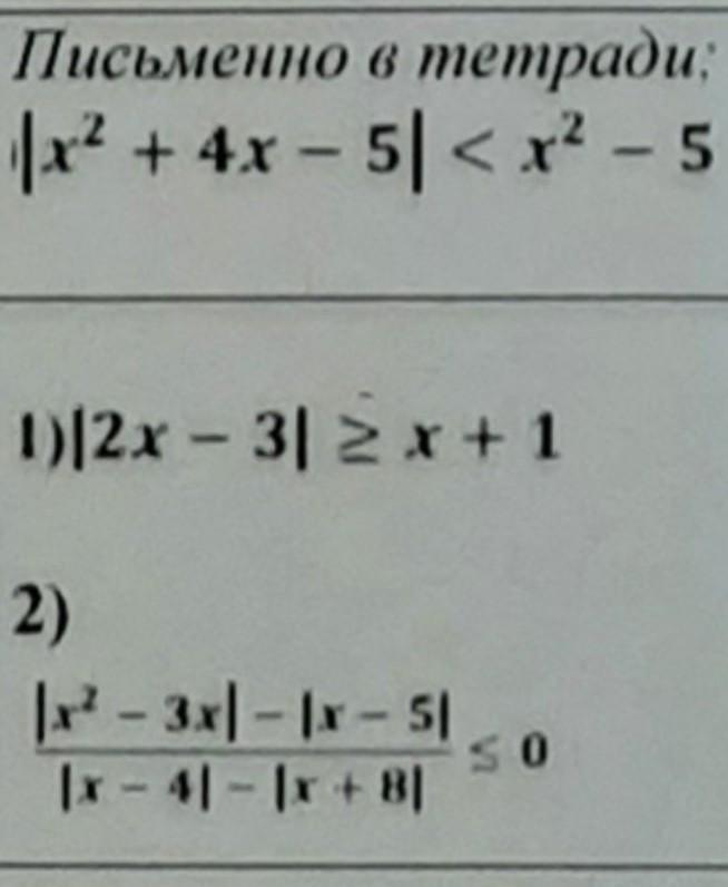
Тема решение неравенств с модулем
Ответы
Ответ дал:
1
Ответ:
х є {-∞ ,2\3 ] U [4, +∞}
Объяснение:
скачай фотоматематику
Вас заинтересует
2 года назад
2 года назад
2 года назад
2 года назад
8 лет назад
8 лет назад
9 лет назад
9 лет назад