• Предмет: Алгебра
  • Автор: kofanira6
  • Вопрос задан 3 года назад

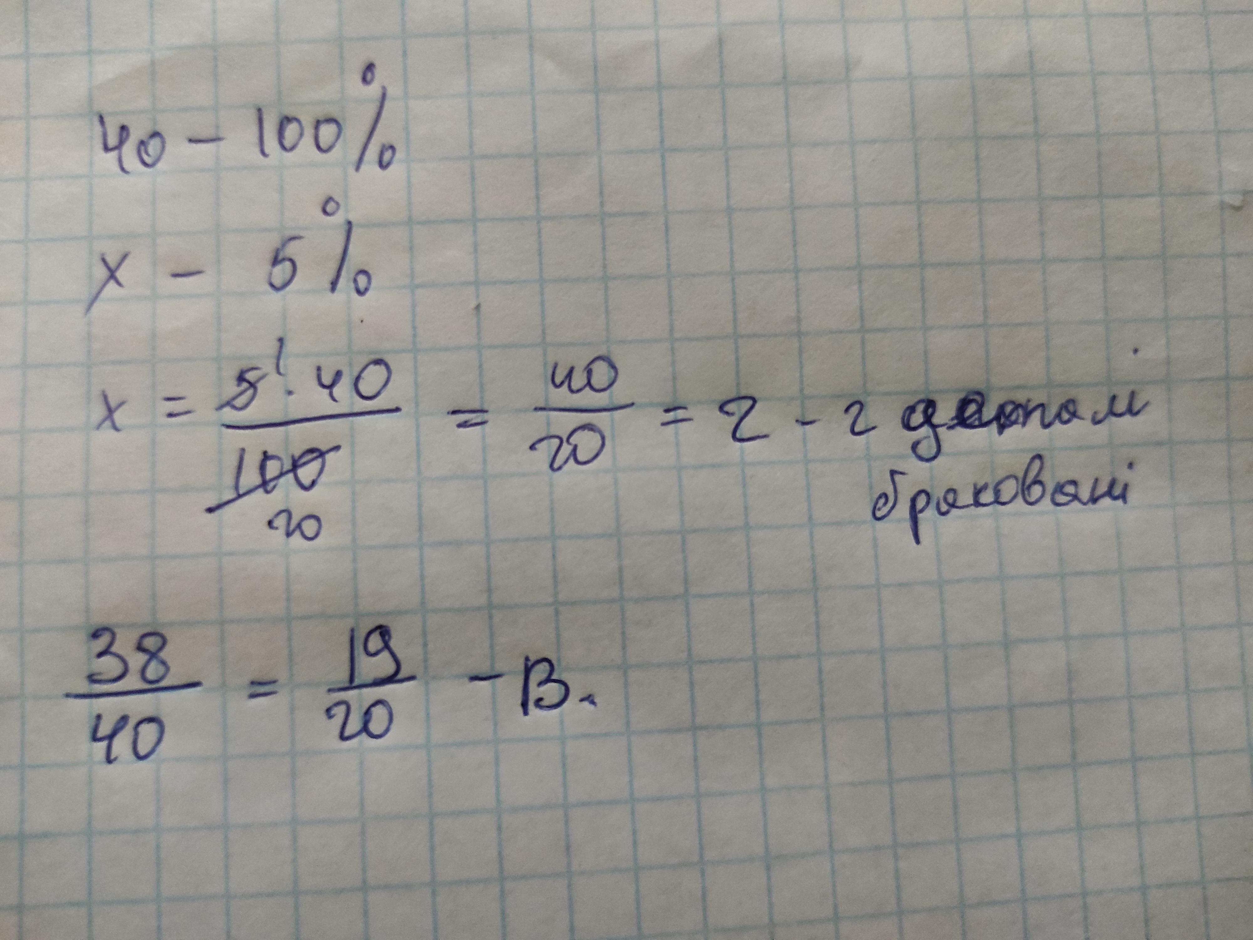
У партії з 40 деталей 5% бракованих. Яка ймовірність того, що навмання вибрана деталь не бракована?

Ответы

Ответ дал: Julia33356
0

Відповідь:

Пояснення:

Приложения:
Вас заинтересует