• Предмет: Математика
  • Автор: davers
  • Вопрос задан 3 года назад

Такое вот показательное гадство.

Приложения:

Ответы

Ответ дал: bmv2516
0

Пошаговое объяснение:

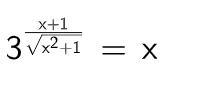
3 \frac{x + 1}{ \sqrt{ {x}^{2}  + 1 } }  = x \\  \\ 3 \frac{x + 1}{ \sqrt{(x - 1)(x + 1)} }  = x \\  \\ 3 \sqrt{x - 1}  = x

Вас заинтересует