Ответы
Ответ дал:
1
Ответ:
-2
Пошаговое объяснение:
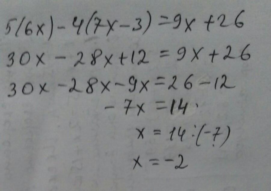
5(6x)-4(7x-3)=9x + 26
30x-28x+12-9x-26=0
-7x=14
x=-2
denisbabenko05p2ypll:
Сппм
Ответ дал:
0
Ответ:
....................
Приложения:

Вас заинтересует
2 года назад
2 года назад
8 лет назад
9 лет назад