Ребят срочно решите пжжжжж даю 50!!!!!!!!!!!!!!!!
Приложения:




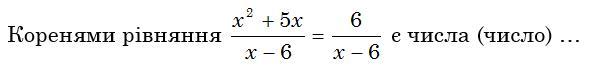
s1051966:
В третьем «е »корнями уравнения по русский можешь написать?
Ответы
Ответ дал:
1
Ответ:
ответы ответы ответы ответы ответы
Приложения:


Вас заинтересует
2 года назад
2 года назад
2 года назад
8 лет назад
8 лет назад
9 лет назад