• Предмет: Алгебра
  • Автор: Nick25584
  • Вопрос задан 3 года назад

70 баллов срочно!
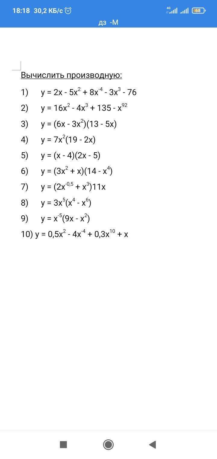
Алгебра прикрепленный файл
Ответ не по теме бан

Приложения:

Ответы

Ответ дал: Аноним
2

Ответ:

Объяснение:

Смотри фото

Приложения:
Вас заинтересует