• Предмет: Алгебра
  • Автор: CatPsih
  • Вопрос задан 3 года назад

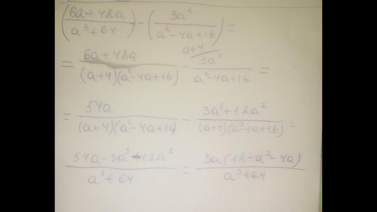
преобразуйте в дроби выражения (6a + 48а/а³ + 64)- (3a²/а² - 4а +16)

Ответы

Ответ дал: kotofeevicholeg
2

Ответ:

(48 + 10а³ + 45а²)/а²

Объяснение:

(6a + 48а/а³ + 64) - (3a²/а² - 4а + 16) = (6а + 48/а² + 64) - (3 - 4а + 16)

раскроем скобки:

6а + 48/а² + 64 - 3 + 4a - 16 = 48/a² + 10a + 45

Сделаем доп. множители для 10а и 45 (а²)

(48 + 10а³ + 45а²)/а²

Ответ дал: qurbanzadesurmeli
1

Ответ:

ответ на листке

Объяснение:

решение тоже есть

Приложения:

qurbanzadesurmeli: если можно отметь пожалуйста ответ как лучший
qurbanzadesurmeli: удачи!
Вас заинтересует