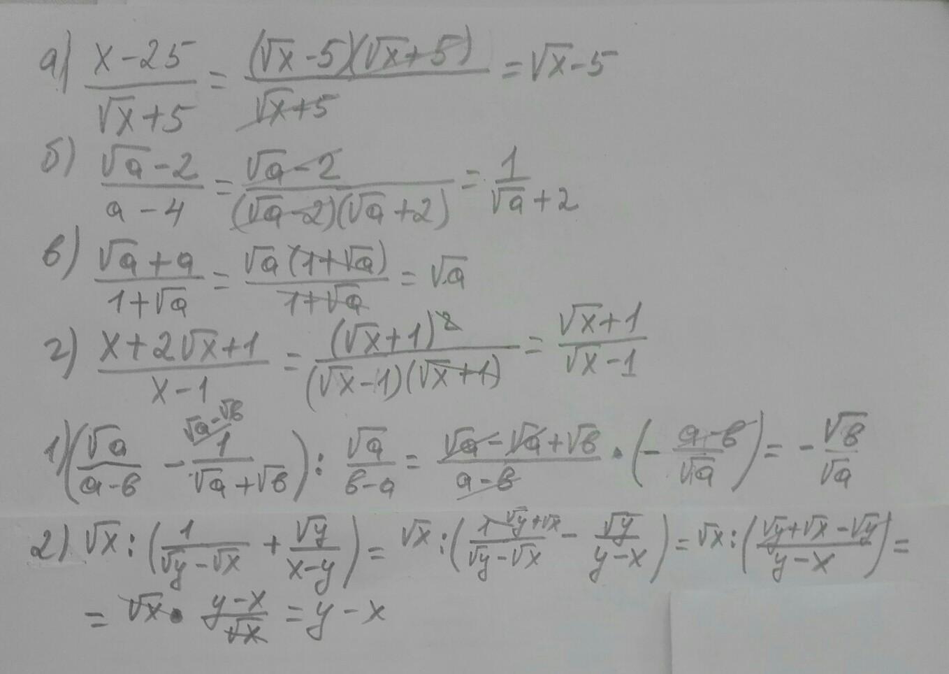
Очень СРОЧНО!!!! Помогите пожалуйста!!!
Пожалуйста, с подробным решением.
Заранее Вам спасибо!!!!
Приложения:

Tamara020971:
Нужны в первом задании только : в) и г) и второе полностью. Пожалуйста... Заранее спасибо!!!
Ответы
Ответ дал:
1
Ответ:
сократить дробь
ответы
Приложения:

Вас заинтересует
2 года назад
2 года назад
2 года назад
8 лет назад
8 лет назад
9 лет назад